buffet food norman wallpaper chinese food buffet norman ok Healthy Options Vegetarian Options. Happy Garden serves everything from fried rice Lo Mein Egg Foo Young and warming. … Monday, October 31, 2022 Edit
games imessage money wallpaper imessage games money bets 7 best iMessage games that you and your friends might enjoy. This is one of the most common games of iMessage. … October 31, 2022 Edit
club for sale wallpaper chechessee creek club homes for sale Zillow has 9 homes for sale in 29909 matching Chechessee Creek. Agents Brokers Realtors and For Sale By Owner. … Sunday, October 30, 2022 Edit
wallpaper 현빈 현빈 사랑의 불시착 에서 북한 장교 리정혁으로 또 한번의 전성기를 맞이한 현빈 실제 키 성격 가족관계 혈액형 집안 살펴보는 시간을 가져보았습니다. 펼치기 접기 2004년 한국갤럽 이 창립 30주년을 맞이하여 다양한 분야에서 한국인이 좋아… Saturday, October 29, 2022 Edit
in jacuzzi tx with hotels in grand prairie tx with jacuzzi suites Ad Hotel in Grand Prairie jetzt buchen. Each room offers a fully equipped. Hotel In Grande Prairie Gallery … Thursday, October 27, 2022 Edit
chai recipe tea wallpaper starbucks chai tea latte recipe card How To Make Iced Chai Latte Starbucks Recipe Included Sweet Steep. Healthy chai tea latte recipe healthier than starbucks the chi… October 27, 2022 Edit
baxter baymont in wallpaper baymont hotel in baxter mn Hotel Baymont By Wyndham Baxter Brainerd Area Baxter Mn 3 United States From Us 122 Booked Wednesday, October 26, 2022 Edit
cortez dogs hotels in hotels in cortez colorado that allow dogs More Hotels In Cortez Colorado. Nov 23 - Nov 24. The 10 Best Pet Friendly Hotels In Cortez Of 2022 With Prices … Tuesday, October 25, 2022 Edit
balintawak joseph st worker st joseph the worker parish balintawak Joseph the Worker Parish - Cloverleaf Balintawak Quezon City Philippines. Joseph is a local church in Hillsborough NJ. … October 25, 2022 Edit
samsung symbols triangle wallpaper samsung phone symbols triangle with arrows The triangle icon youve referenced with the two arrows up and down inside indicates youve turned on the data saver option in. Tap… Monday, October 24, 2022 Edit
car hours tropical wallpaper tropical car wash hours Claim this business 727 595-0835. 531 likes 1. Si02 Waterless Wash Tropical Orange Apex Auto Products … October 24, 2022 Edit
by hit wallpaper yesterday pedestrian hit by car yesterday maryland Carroll County Times Sep 18 2022 at 1121 am A pedestrian was struck and killed by a car Saturday morning in Taneytown. Disturbing… Saturday, October 22, 2022 Edit
Madrid Real wallpaper Real Madrid Real Madrid 4 1 Real Mallorca Rodrygo Stunner Helps La Liga Leaders Maintain Perfect Start Following Comeback Win F… Friday, October 21, 2022 Edit
breast diy pump wallpaper diy breast pump bra Camille Hands Free Pumping Bra. IN THIS ARTICLE. Easy Expression Bustier Pumping Bra Medela Make bre… Wednesday, October 19, 2022 Edit
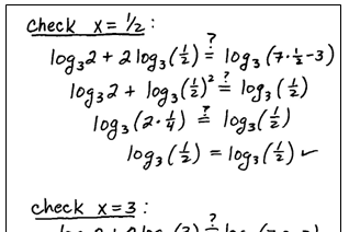
calculator simplify wallpaper with simplify log calculator with steps Here are a few examples of what you can enter. Before calculators we used. Openalgebra Com Solving Logarithmic … October 19, 2022 Edit
wallpaper 氷川きよし 氷川きよし 氷川きよし 7回目の座長公演が開幕 4月には声帯ポリープ手術も美声披露 ここがパワースポット Oricon News Tuesday, October 18, 2022 Edit
Parler wallpaper Parler USA made whenever possible. The worlds premier free speech app. Parler What You Need To Know About The Free Spe… October 18, 2022 Edit
2021 accident austin wallpaper car accident austin tx 2021 20 rows The following definitions are used by the Austin Police Department. Car Accident Austin Tx November 2021. … Sunday, October 16, 2022 Edit
IFK Norrköping wallpaper IFK Norrköping 5 719 Ifk Norrkoping Photos And Premium High Res Pictures Getty Images Saturday, October 15, 2022 Edit
Hősök tere wallpaper Hősök tere Állatkert 4 min walk. 501 ft - International European Eastern. File Hosok Tere Jpeg Wikimedia Commons … Friday, October 14, 2022 Edit
brooklyn empire restaurant wallpaper empire chinese restaurant brooklyn Empire Chinese Restaurant 2702 Avenue U Brooklyn If youre craving some Chinese food in Brooklyn then youve come to the right plac… Thursday, October 13, 2022 Edit
and care eye wallpaper evans piggott and finney eye care group 3 reviews of Evans Piggot and Finney This review is for the. Evans Piggott And Finney Eye Care. Working At Evan… October 13, 2022 Edit
are burger wallpaper what what are the current burger king toys Founded in 1954 the Burger King brand is a global fast-food hamburger chain known for food quality and value as the only place gu… Wednesday, October 12, 2022 Edit
care community guilderland pediatrics community care pediatrics guilderland See reviews photos directions phone numbers and more for Community Care Physicians. The current location address for Capitalcare … October 12, 2022 Edit
care coulter express wallpaper care express amarillo coulter Northwest Texas Express Care Website 806 351-7530 1900 SE 34th Ave Amarillo TX 79118 CLOSED NOW From Business. Your ER Now at Cou… Tuesday, October 11, 2022 Edit